Bộ Công an vừa công bố bộ đề thi tham khảo bài thi đánh giá sử dụng trong tuyển sinh đại học công an nhân dân năm 2022. Bộ đề thi có 4 mã đề, đều có phần tự luận là môn văn hoặc môn toán.
Thượng tướng Trần Quốc Tỏ, Thứ trưởng Bộ Công an, Trưởng ban Chỉ đạo thực hiện đề án đổi mới công tác tuyển sinh đại học chính quy tuyển mới trong công an nhân dân, ký Quyết định số 3365/QĐ-BCĐ ban hành đề thi tham khảo bài thi đánh giá của Bộ Công an sử dụng trong tuyển sinh đại học công an nhân dân năm 2022.
Theo quy định của Bộ Công an, khi thí sinh tham gia kỳ thi đánh giá để có kết quả xét tuyển sinh đại học công an nhân dân năm 2022 sẽ chọn một trong 4 mã đề để dự thi. Cấu trúc các mã đề gồm phần trắc nghiệm 90 phút và phần tự luận 90 phút. Trong đó, phần tự luận là môn văn hoặc môn toán.
Thí sinh sẽ làm phần trắc nghiệm trên phiếu trả lời trắc nghiệm và làm phần tự luận trên giấy thi theo mẫu của Bộ Công an.
Bộ Công an dự kiến sẽ tổ chức bài thi đánh giá ngay sau kỳ thi tốt nghiệp THPT khoảng 10 ngày.
Thành phần nội dung của từng mã đề như sau:
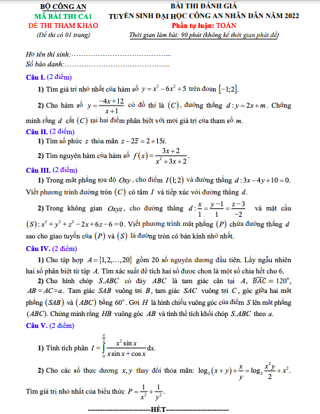
CA1: phần trắc nghiệm bao gồm lĩnh vực khoa học tự nhiên, lĩnh vực khoa học xã hội, ngôn ngữ Anh (90 phút); phần tự luận là toán (90 phút).
CA2: phần trắc nghiệm bao gồm lĩnh vực khoa học tự nhiên, lĩnh vực khoa học xã hội, ngôn ngữ Anh (90 phút); phần tự luận là ngữ văn (90 phút).
CA3: phần trắc nghiệm bao gồm lĩnh vực khoa học tự nhiên, lĩnh vực khoa học xã hội, ngôn ngữ Trung Quốc (90 phút); phần tự luận là toán (90 phút).
CA4: phần trắc nghiệm bao gồm lĩnh vực khoa học tự nhiên, lĩnh vực khoa học xã hội, ngôn ngữ Trung Quốc (90 phút); phần tự luận là ngữ văn (90 phút).
Tổng điểm của bài thi là 100 điểm, trong đó phần trắc nghiệm tối đa 60 điểm và phần tự luận tối đa 40 điểm.
Sau đây là 4 mã đề để tham khảo:
Mã đề CA1 xem tại đây.
Mã đề CA2 xem tại đây.
Mã đề CA3 xem tại đây.
Mã đề CA4 xem tại đây.
Môn toán tự luận mã đề CA1 và CA3:
![]() |
Môn văn tự luận mã đề CA2 và CA4:
![]() |
Những vật dụng thí sinh được phép mang vào phòng thi:
![]() |
Nguồn: thanhnien.vn








